Materi Memahami Pangkat Rasional
Tuesday, 12 January 2016
Add Comment
Pada kesempatan ini saya akan membahas tentang mateeri bidang matematika tentang memahami pangkat rasional. Untuk materi matematika kali ini, saya tidak terlalu panjang lebar, karena memang dalam penyajian materi matematika tidak membutuhkan hal seperti itu.
Pangkat rasional itu berhubungan dengan pangkat dan akar. artinya bahwa akar dari suatu bilangan dapat emngembangkan nilai asli dari bilangan tersebut dari pangkatnya sedangkan sebuah pangkat dari suatu bilangan dapat mengembalikan nilai asli bilangan tersebut dari akarnya.
Saya perlihatkan contohnya :
Terus apa yang harus kita lakukan jika sudah menemukan bentuk akar seperti gambar di atas, pastinya kita selalu menyederhanakan, Baik adapun langkah untuk menyederhanakan adalah sebagai berikut :
1. Untuk akar pangkat dua, tanda akar dapat ditulis sebagai pangkat setengah
Pangkat rasional itu berhubungan dengan pangkat dan akar. artinya bahwa akar dari suatu bilangan dapat emngembangkan nilai asli dari bilangan tersebut dari pangkatnya sedangkan sebuah pangkat dari suatu bilangan dapat mengembalikan nilai asli bilangan tersebut dari akarnya.
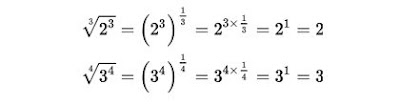
Saya perlihatkan contohnya :
Terus apa yang harus kita lakukan jika sudah menemukan bentuk akar seperti gambar di atas, pastinya kita selalu menyederhanakan, Baik adapun langkah untuk menyederhanakan adalah sebagai berikut :
1. Untuk akar pangkat dua, tanda akar dapat ditulis sebagai pangkat setengah
2. Akar pangkat tiga dapat ditulis, pangkat satu pertiga
3. Akar pangkat empat dapat ditulis, sebagai pangkat seperempat
Nah sekarang jika menemukan sebuah soal yang didalamnya terdapat bilangan berpangkat di dalam tanda akar, maka cara menyederhanakan adalah sebagai berikut :
Nah dari pembahasan di atas di atas timbul sebuah pertanyaan ? apakah kalian tahu keuntungan mengubah akar menjadi bentuk pangkat ? Tidak tahu kan, sekarang saya akan beritahu keuntungannya.
Keuntungannya adalah proses perhitungan akan menjadi lebih mudah, masalah enjadi lebih sederhana, dan memungkinkan kita untuk melakukan perhitungan yang tidak dapat kita lakukan sebelumnya.
Poin penting selanjutnya adalah akar kuadrat sebuah bilangan, selalu bersifat positif dan tidak negatif.
Contohnya yach :
Oleh sebab itu, ini yang selalu menjadi dasar munculnya sebuah nilai absolut,
Terima kasih telah berkunjung dan semoga materi tentang memahami pangkat rasional bisa bermanfaat dan diaplikasikan dalam pembelajaran. Terima kasih untuk kedua kalinya.
0 Response to "Materi Memahami Pangkat Rasional"
Post a Comment